2024 VOL. 11, No. 2
Abstract: This study explores the significance of the online teaching ability of higher education teachers, and how teachers perceived their level of competence in teaching online in north-east (NE) India. The Faculty Readiness to Teach Online (FRTO) instrument developed by Martin et al. (2019) was adapted to conduct a study from 130 teachers in higher education institutions across NE India. The ability to teach online was categorised into four categories, i.e., course design, course communication, time management, and technical competence. Structural Equation Modelling (SEM) was carried out to do direct and indirect path analysis of the proposed conceptual model. Multiple regression analysis was used in analysing the demographic profiles of the teachers and their perceptions of the importance of online teaching competencies. The findings indicate that the perceived readiness to teach online was not significantly influenced by course design, course communication, time management and technical competencies. Furthermore, regression analysis showed that both age and gender negatively impacted perceptions towards readiness to teach online, with older and female teachers having lower perception scores.
Keywords: faculty readiness to teach online, online teaching-learning, teacher competencies, higher education institutions
The global pandemic caused by the outbreak of Covid-19 transformed the traditional education system, forcing educational institutions to adopt online teaching and learning to ensure the continuity of education. The Covid-19 pandemic also transformed how individuals receive and disseminate education (Li & Lalani, 2020). The traditional face-to-face interactions between students and teachers in classrooms were replaced by digital learning platforms, such as online teaching and virtual education systems, which lack physical presence and direct personal connection (Daniel, 2020). Thus, teachers’ preparedness to teach online has become critical to the success of online education, which depends on factors such as their perception of online teaching, course design (CD), course communication (CC), time management (TM), and technical competence (TECH) (Martin et al., 2019). The educational institutions in north-east India, especially after Covid-19, are also adapting to the changes and using technology as a medium of teaching and learning process. Both government and private organizations, have collaborated to equip teachers with the necessary resources and training for effective instruction on digital platforms such as Zoom, Google Classroom, Canvas, and Blackboard. The success of online education depends heavily on the preparedness of the teachers, including their familiarity with the technology, their ability to design and deliver effective online courses, and their willingness to embrace new pedagogical approaches. It is important to explore how teachers perceive their readiness to teach online, as this can inform the development of effective support programmes and resources. Therefore, this study aims to investigate the importance of teachers' online teaching abilities as well as how competent they felt they were at instructing their students virtually, with special reference to north-east India.
For over two decades, online and blended learning have been a feature of higher education instruction (Singh & Thurman, 2019). However, the occurrence of the Covid-19 pandemic led to a quick shift to Online Teaching and Learning for most higher education institutions regardless of whether or not faculty were prepared (UNESCO IESALC, 2020). Teachers who perceive online teaching positively tend to be more prepared to teach online than those who perceive it negatively (Lee & Choi, 2011) and are more likely to be motivated to learn how to use technology effectively and design effective online courses (Nandi et al., 2017). A study by Al-Fraihat et al. (2020) found that teachers who had a positive perception of online teaching were more prepared to teach online during the Covid-19 pandemic.
Course design is critical to the success of online teaching, and it plays a crucial role in the teacher’s preparedness to teach online. Effective course design requires teachers to understand the principles of online pedagogy and incorporate best practices for online teaching (Shankar et al., 2021). A study by Kim and Bonk (2006) found that teachers who received training in online course design reported feeling more prepared to teach online than those who did not receive any training. The study also found that teachers who received training in online course design were more likely to design effective online courses. Effective course communication is essential for online teaching, and it plays a crucial role in the faculty’s preparedness to teach online. Communication in online courses requires teachers to be proficient in using communication tools such as email, discussion forums, and video conferencing (Chen et al., 2015). A study by Harasim (2017) found that teachers who communicated effectively with students in online courses reported feeling more prepared to teach online than those who did not communicate effectively.
Online teaching has become an increasingly popular mode of instruction in higher education, with many institutions offering fully online or blended courses to students. However, this shift to online teaching has also brought about new challenges for teachers, who must adapt to new technologies, develop effective course designs, manage their time effectively, and communicate with students in ways that are conducive to learning (Nandi et al., 2015).
Technical competence is critical for online teaching, and it plays a crucial role in the teacher’s preparedness to teach online. Online teaching requires teacher members to have technical skills such as the ability to use online platforms, troubleshoot technical issues, and integrate technology into their teaching (Chen et al., 2015). One key factor that can affect teacher members’ preparedness to teach online is their perception of the online teaching environment. Teachers who have positive perceptions of online teaching are more likely to engage in effective course design, communicate effectively with students, manage their time effectively, and develop the technical competence needed to succeed in the online teaching environment (Bawa, 2016). A study conducted by Kumar and Singh (2020) surveyed 200 Indian teachers to assess their preparedness for online teaching during the Covid-19 pandemic. A study by Paliwal and Singh (2020), emphasised the importance of investing in faculty development, technology infrastructure, and collaborative efforts to ensure a successful transition to online teaching and learning in the post-Covid-19 scenario for Indian higher education institutions. The results showed that many teachers lacked the necessary skills and infrastructure to effectively teach online and that there was a need for more training and support.
Another study by Kumar and Samanta (2021) examined the preparedness of Indian teacher educators for online teaching. The study surveyed 236 teacher educators and found that many of them had limited experience with online teaching and lacked the necessary skills and resources to effectively teach online. Mahinay et al. (2022) conducted a study of 114 full-time and part-time teachers through a self-constructed survey questionnaire at Poblacion 5, Midsayap, Cotabato, Philippines. It made use of the descriptive survey research design to determine how ready the participants were for imparting instructions to the learners via a virtual platform. The study's findings showed that the participants were prepared to conduct online teaching and were familiar with fundamental resources needed for online teaching such as the devices, network connections, and virtual platform tools. However, Mahajan et al. (2023) conducted a study in India to understand the effectiveness of online teaching from both a student and faculty perspective in higher education institutions. Faculty surveys involving 60 participants were conducted and the data were analysed using descriptive statistics and the Human Development Index (HDI). The study observed items related to the perception of online teaching in terms of sustainability, usefulness and interest, institutional support, flexibility, course design, training, connectivity, resources, peer learning, practical courses, and overall pedagogy and discovered these aspects were seen as challenges.
Overall, these studies suggest that while some teachers may be adequately prepared for online teaching, there are still significant challenges and gaps that need to be addressed in order to ensure that teachers are fully equipped to teach effectively in an online environment.
While online teaching and learning have become increasingly popular, there is a need for more research on effective pedagogical approaches specific to the online environment, which may include investigating instructional strategies, assessment methods, and learner engagement techniques that can optimise online learning outcomes. Further exploration is needed to understand how to foster meaningful interaction among online learners and facilitate effective collaboration, such as using virtual teams or discussion forums. Additionally, maintaining student engagement and motivation can be challenging in online learning environments. In this context, the proposed study aimed to generate comprehensive results showcasing the most effective practices employed in online teaching. The data analysis primarily focused on identifying teaching competencies and technological requirements such as course design, course communication, time management, and technical competence (Martin et al., 2019), particularly within higher education.
The study focused on answering the following questions:
A literature review was undertaken to formulate hypotheses and the theoretical conceptual model, which were then tested with observed data. Hajji et al. (2016), in their study, found that using a social learning platform as a support guide increased the time of initial training, and improved the efficiency and performance of student teachers while supporting teaching needs and self-learning skills. There are four general categories to describe faculty competencies in higher education, namely, design, communication, time management, and technical competencies (Martin et al., 2019). A study by Paliwal and Singh (2021), aimed to assess higher education teachers’ readiness to handle online education based on the online teaching readiness competencies model. The findings suggest that the level of course design competencies, course communication competencies, and time management competencies among the teachers was not sufficient, whereas the teachers' technical competencies met the requirements for readiness to handle online education. This study adopted the online teaching readiness competencies model (Martin et al., 2019).
In a study by Varvel (2007), course design was identified as a pedagogical competency, alongside course implementation, facilitation, and assessment. Course design involves not only preparing materials, course lectures, activities, and assessments in advance but also providing clear expectations of assignments and/or activities and anticipating student questions (Darabi et al., 2006). Varvel (2007) emphasised that faculty also adjust materials based on credibility, clarity, validity, reliability, accuracy, currency, accessibility, usability, and quality of course resources. Materials include text, audio, video, and other delivery media. Based on this literature, the first and second hypotheses were formulated as follows:
H1: There is a positive impact of course design on the perception of the teacher towards readiness to teach online.
Goodyear et al. (2001) highlighted the importance of interpersonal communication and interaction between teacher and students in online courses. Again, the study conducted by Varvel (2007), found that faculty must be able to communicate through writing and/or audio to the students within the given learning modality. Moreover, a study by Darabi et al. (2006), found that faculty must be able to moderate, participate in, and advance discussions to encourage participation.
H2: There is a positive impact of course communication on the perception of the teacher towards readiness to teach online.
Aydin (2005) found that participants who were faculty and graduate assistants believed that the ability to manage time efficiently was very important for successful online teaching. Varvel’s (2007), study, found that competent faculty have adequate time-management skills so that lifestyle commitments do not interfere with the ability to instruct their course. Online course design and planning are time-consuming and take significantly longer for a first-timer, as all the course objectives, content, activities, and assessments have to be redesigned for an online format. Again, Visser (2000) stated that an online course when taught for the second time is less time-consuming compared to the first time. Against this background, the third hypothesis was formulated:
H3: There is a positive impact of time management on the perception of the teacher toward readiness to teach online.
According to Darabi et al. (2006) and Varvel (2007, as cited in Martin et al. 2021), technical competencies include technical knowledge and proficiency in the use of current technology. According to Young (1997, as cited in Martin et al. 2021), faculty also require abilities in selecting, managing, using, and creating videos for various purposes, such as course lectures, welcome videos, and demonstrations. Developing a course that incorporates online content to complement or substitute traditional classroom lectures necessitates additional technical competencies, including the ability to design instructional websites and interactive learning environments. Based on this review, the fourth hypothesis was formulated:
H4: There is a positive impact of technical competencies on the perception of the teacher towards readiness to teach online.
According to Aydin (2005), Bawane and Spector (2009), Guasch et al. (2010), and Williams (2003, as cited in Martin et al. 2021) the above-mentioned competencies differ for faculty by culture, contexts, organisations, and countries, and this, in turn, implies that readiness will vary by these same factors. Thus, there is a need to further study teacher readiness to teach online.
For the present study, the following conceptual model (Figure 1) was used to analyse the relationship between course design, course communication, time management and technical competence on the perception of the teacher towards readiness to teach online.

In addition, the study also examined the relationship between age, gender and perception of the teacher towards teaching online. Suri and Sharma (2017) in their study found no significant effect of gender on teachers' attitudes toward computers and e-learning, whereas a significant effect of age was seen on teachers’ attitudes toward computers and e-learning. Chandwani et al. (2021) in their study found a significant correlation (negative relation) between age, familiarity with online learning tools, and the attitude of teachers with respect to online teaching. Nachimuthu (2020) and Rana (2012) also did not find any significant effect of gender on teachers’ attitudes towards e-learning and the use of various technologies in classroom teaching. Based on these, the fifth hypothesis was formulated:
H5: There is a significant relationship between age, gender and perception of the teacher towards teach online.
The present study employed an empirical quantitative research design to investigate the mediating role of the perception of teachers on online teaching and its relationship with course design, course communication, time management, and technical competence in relation to teaching preparedness to teach online.
The data for the study were collected from 130 teachers working in 12 higher education institutions across north-east India. Data were collected from teachers from arts, commerce and general science streams. A purposive sampling technique was utilised to select participants who had experience in teaching online courses. The demographic analysis of the participants is presented in Figure 2. The data was collected from April 2022 to June 2022. The questionnaire was designed and administered through Google Forms and participants were given a specific period to complete the survey voluntarily and anonymously.
The Faculty Readiness to Teach Online (FRTO) instrument, developed by Martin et al. (2019), was adapted for this study. The instrument consists of 37 constructs (Table 1) related to course design, course communication, time management, and technical competence. Research studies (Liaw, 2008; Ramadiani et al., 2017; Paliwal & Singh, 2021) were also reviewed to identify the framework and, accordingly, few new constructs were incorporated. Therefore, teachers’ perception and teachers’ readiness to teach online were incorporated. These constructs were measured via a five-point Likert scale (1 = Not at all Important/Strongly Disagree, 2 = Not Important/Disagree, 3 = Somewhat Important/Neutral, 4 = Important/Agree and 5 = Very Important/Strongly Agree), allowing participants to indicate the extent of their agreement or disagreement with each statement. The survey also included demographic questions to gather information about the participants' teaching experience, academic discipline, and institution type.
The conceptual model identified four independent variables and two dependent variables, which facilitated the development of hypotheses to determine the key competencies needed for online teaching perception and readiness. As the present study employed Structural Equation Modeling (SEM), these variables are referred to as exogenous and endogenous variables, respectively (Gunzler et al., 2013). A total of 37 items were divided into six constructs. Here, the exogenous variables are the independent variables, namely, course design competencies (eight items), course communication competencies (eight items), time management competencies (four items), technical competencies (seven items), and endogenous variables are the independent variables, namely, perception towards online teaching (three items) and readiness towards online teaching (seven items).
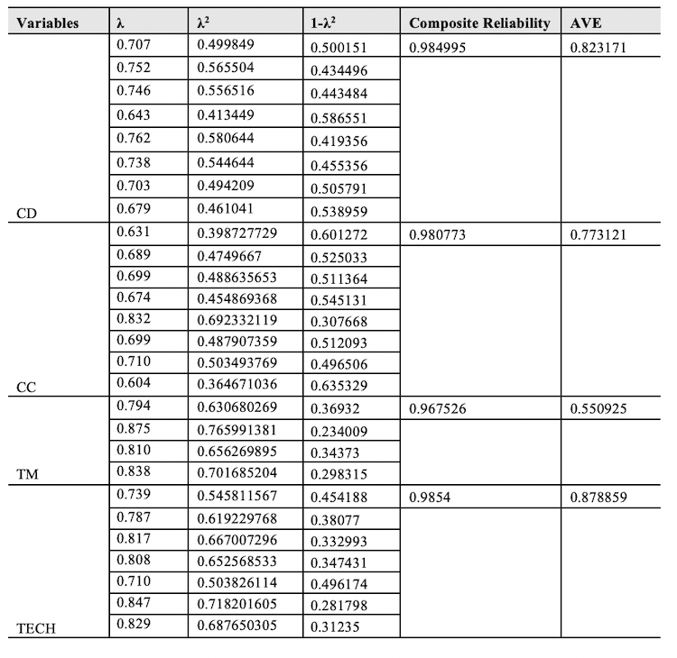
Construct reliability was assessed using Cronbach’s Alpha and Composite Reliability. Cronbach Alpha for each construct in the study was found over the required limited of .70 (Nunnally & Bernstein,1994). Composite reliabilities ranged from 0.96 to 0.98, above the 0.70 benchmark (Hair et al., 2010). Hence, construct reliability was established for each construct in the study (Table 1).
Convergent validity of scale items was estimated using Average Variance Extracted (Fornell & Larcker, 1981). The average variance extracted values were above the threshold value of 0.50 (Fornell & Larcker, 1981) for all the constructs. Therefore, the scales used for the present study have the required convergent validity.
Table 1: Factor Loadings, Reliability, and Convergent Validity

The descriptive statistics used gave an overall view of the 130 responses. The collected data were also analysed using Structural Equation Modelling (SEM) to examine the direct and indirect paths in the conceptual model. SEM is a statistical technique that allows for the evaluation of complex relationships among variables. In this study, SEM was employed to determine the influence of course design, course communication, time management, and technical competence on teaching preparedness through the mediating construct of teacher perception towards teaching online. Again, multiple regression analysis was employed to determine the relationship between age and gender and perception of the teacher towards readiness to teach online.
This section outlines the demographic information of HEI teachers from different parts of NE India to understand their preparedness and readiness to use ICT tools for online teaching.
The following pie charts represent a description of the participants, including gender, age, years of teaching in conventional mode, and years of teaching online.

The total of 130 respondents was comprised of 76 male respondents (58%) and 54 female respondents (42%) from different universities, colleges, and higher education institutions. Out of the total of 130 teachers, the majority of the respondents 84 (65%) were comprised of Assistant Professors teaching at different colleges and universities, 14 (11%) were Associate Professors and 10 (8%) were Professors. Part-time lecturers and visiting faculty comprised 10 (8%) and 12 (8%) were marked as others, such as research scholars and research assistants. Furthermore, 35 (27%) of the respondents resided in rural areas, 30 (23%) were located in semi-urban areas, while the remaining majority of 65 (50%) had an urban locale.
The age of respondents demonstrated a diverse distribution among the participants in the study, with the majority falling within the 31-40 years of age range. The majority of the respondents 58 (45%) were aged between 31-40 years.
According to the descriptive statistics for the variable "Online Teaching Experience," the largest group consisted of teachers with less than one year of online teaching experience, with 51 respondents accounting for 39 % of the total sample. The next group included teachers with one year of online teaching experience, with 43 respondents representing 33% of the sample. Among the respondents, there were 23 teachers with four years of online teaching experience, accounting for 18% of the sample. Only one teacher (1%) reported having five years of online teaching experience.
Descriptive statistics (Means and Standard Deviations [SD]) by item within each of the four subscales are presented in Table 2.
Table 2: Descriptive Statistics by Survey Items

From the above descriptive table (Table 2), we can see teachers showed a positive perception towards course design, with an overall mean score of 4.341 (SD = 0.4529). They rated highly in various aspects, such as creating an online course orientation, writing measurable learning objectives, designing interactive learning activities, and using different teaching methods. The overall mean for course communication was 4.306 (SD = 0.444). Teachers had positive mean ratings for tasks such as sending announcements/email reminders, moderating discussion forums, providing feedback on assignments, and using synchronous web conferencing tools. Teachers demonstrated positive attitudes towards time management, with mean ratings ranging from 4.12 to 4.23. They showed effectiveness in scheduling time for course design and facilitation, utilising features in the learning management system for time management, and allocating time for grading assignments. The overall mean for time management was 4.148 (SD = 0.575). Teachers were proficient in basic computer operations, navigating within the learning management system, and using online collaborative tools. However, they showed slightly lower mean ratings for tasks like creating and editing videos. The overall mean for technical competencies was 4.022 (SD = 0.5806). They were interested in learning more about using technology for online education, but they also perceived online teaching as requiring more effort compared to face-to-face instruction. The overall mean for perception towards online teaching was 4.3282 (SD = 0.383). Teachers felt comfortable using technology in teaching online, were open to learning more ways of using technology, and expected more job satisfaction from online teaching. The overall mean for readiness towards online teaching was 4.3176 (SD = 0.364). Overall, the findings indicated that teachers generally had a positive perception of online teaching and were ready to embrace technology for teaching purposes.
After conducting an in-depth literature review, the authors structured the relevant literature and presented a theoretical conceptual framework (Figure 1). A structural Equation Model generated through an IBM AMOS-26 was used to test the relationships in the proposed model. A good-fitting model was accepted if the value of the CMIN/df, the Goodness-of-Fit Index (GFI) (Hair et al., 2010); the Tucker and Lewis (1973) Index (TLI); and the Comparative Fit Index (CFI) (Bentler, 1990) was > 0.90 (Hair et al., 2010). In addition, an adequate fitting model was accepted if the AMOS computed value of the standardised root mean square residual (RMR) < 0.05, and the root mean square error of approximation (RMSEA) was between 0.05 and 0.08 (Hair et al., 2010).
The fit indices for the model shown in Table 3 fell within the acceptable range: CMIN/df = 1.721, goodness-of-fit (GFI) = 0.717, TLI = 0.790, CFI = 0.805, SRMR = 0.076, and RMSEA = 0.075.
The squared multiple correlation was 0.07 for perception of the teacher (PER), which shows that 7% variance in perception of the teacher(PER) was accounted for by Course Design (CD), Course Communication (CC) Time Management (TM) and Technical (TECH).

The study assessed the impact of course design on the perception of the teacher towards readiness to teach online. The impact of course design on the perception of the teacher was positive but insignificant (b = 0.098, t = 0.441, p < 0.659); hence, H1 was not supported. Again, H2 was not supported, as the impact of course communication on the perception of the teacher was positive but insignificant (b = 0.064, t = 0.332, p < 0.740). The study assessed the impact of time management on the perception of the teacher towards readiness to teach online. The impact of time management on the perception of the teacher was positive but insignificant (b = 0.246, t = 1.182, p < 0.237); hence, H3 was not supported. The study assessed the impact of technical competence on the perception of the teacher towards readiness to teach online. The impact of technical competence on the perception of the teacher was negative and insignificant (b = -.241, t = -1.289, p < 0.198); hence, H4 was not supported.
Table 3: Model Fit Indices and Hypotheses
The study also assessed the mediating role of perception of teacher (PER) on the relationship between course design (CD), course communication (CC) time management (TM) and technical competence (TECH) on the readiness of teacher (READ) to teach online. The results revealed an insignificant indirect effect of the impact of constructs on readiness of teacher to teach online (READ) as reflected in Table 4.
Table 4: Mediating Role of Perception of Teacher
The results showed that all the indirect effects of course design (CD), course communication (CC), time management (TM), and technical competencies (TECH) on the readiness of teacher to teach online (READ) through perception of the teacher (PER) were found to be 0.000, indicating insignificant relationships. The confidence intervals also contained zero, further supporting the lack of significance. The p-values for all analyses were greater than 0.05, confirming the insignificance. Hence, based on the above result, it can be concluded that the perception of teacher (PER) does not mediate relationship between course design (CD), course communication (CC), time management (TM), and technical competencies (TECH) and the readiness of the teacher (READ) to teach online.
Also, the study examined the relationship between age and gender and the perception of the teacher (PER) using the multiple regression analysis. The dependent variable, the perception of the teacher towards readiness to teach online, was regressed on the predicting variables age and gender. The independent variables significantly predict perception, F (4.723), indicating that the regression model was statistically significant (p = .011). Moreover, R2 = 0.069 depicts that the model explains 6.9% of the variance in perception, which can be explained by age and gender.
Additionally, coefficients were further assessed to ascertain the influence of each of the factors on the criterion variable (perception of the teacher toward readiness to teach online). The results revealed that age has a significant but negative impact on perception (B = -0.072, t = -2.244, p = 0.027) indicating that age also has a significant negative relationship with perception. Similarly, gender had a significant but negative impact on perception of the teacher towards readiness to teach online (B = -0.169, t = -2.506, p = 0.013).
Table 5: Hypothesis Results for H5
*p < 0.05
In this study, the authors attempted to illustrate how teachers in HEIs in NE India encountered several challenges in how they managed online education after the pandemic. However, this led to insignificant impacts on course design, course communication, time management, and technical competencies on the perception of the teacher towards their readiness to teach online. The relationships between these factors and the perception of the teacher were positive, but the statistical analyses showed that they were not significant (p > 0.05). In the course design construct, designing learning activities for student interaction was highly rated followed by creating an online course orientation, organising instructional materials and creating online quizzes and assignments. In terms of course communication, using synchronous web conferencing tools was highly rated followed by providing feedback on assignments, applying copyright law and responding promptly to student questions. Regarding time management, positive attitudes towards scheduling time for course design were highly rated. For technical competencies, navigating within the learning management system and basic computer operations were highly rated. In terms of perception towards online teaching, perceiving online teaching as requiring more effort compared to face-to-face instruction was highly rated. Regarding readiness towards online teaching, feeling motivated to teach online in the current professional environment and believing in the future of teaching online were highly rated.
Gender showed a negative relationship, suggesting that being female was associated with lower perception scores. Similarly, age exhibited a negative relationship, indicating that older individuals tend to have lower perception scores. However, age and gender, taken together, only accounted for a small proportion (6.9%) of the variance in perception.
This study can guide the integration of technology and online resources, ensuring a seamless transition from traditional classroom teaching to online teaching. The positive perceptions and readiness of teachers towards online teaching indicate a growing acceptance of and interest in online pedagogy. Higher education institutions should encourage teachers to incorporate more interactive elements and well-structured course designs to foster active engagement and learning among students. Institutions should conduct further research to implement measures that ensure equitable opportunities for teachers of all genders and age groups to engage in online teaching. By addressing these implications, institutions could create a more inclusive and effective online teaching environment. Furthermore, a comparative study of teachers’ perceptions towards preparedness to teach online in private and government institutions could be conducted. Similar comparative studies could also be conducted among the teachers working in conventional universities and open universities in India.
The study suffers from some methodological limitations such as the purposively selected sample size of only 130 from north-east India, which does not represent all the target population who teach in HEIs. Secondly, the responses received were only from teachers in arts, commerce, and general science, and the study would have been more representative had the authors been able to incorporate other disciplines such as medicine, engineering, vocational studies, etc.
Al-Fraihat, D., Joy, M., Sinclair, J., & Ross, O. (2020). Evaluating e-learning systems success: An empirical study. Computers in Human Behaviour, 102, 67-86. https://doi.org/10.1016/j.chb.2019.08.004
Aydin, C.H. (2005). Turkish mentors’ perception of roles, competencies and resources for online teaching. Turkish Online Journal of Distance Education, 6(3), 1-23. https://tojde.anadolu.edu.tr/yonetim/icerik/makaleler/911-published.pdf
Bawa, P. (2016). Retention in online courses: Exploring issues and solutions—A literature review. Sage Open, 6(1), 2158244015621777. https://doi.org/10.1177/2158244015621777
Bawane, J., & Spector, J.M. (2009). Prioritization of online instructor roles: Implications for competency-based teacher education programs. Distance Education, 30(3), 383-397. https://doi.org/10.1080/01587910903236597
Chandwani, S., Singh, N., & Singh, G. (2021). Attitude of faculty towards online teaching and learning in relation to certain variables: A study during coronavirus (COVID-19) pandemic in India. Library Philosophy & Practice. http://digitalcommons.unl.edu/libphilprac/5569
Chen, C.M., Wang, Y.H., & Chen, F.C. (2015). Using an online formative assessment tool enhances learning achievement and increases self-regulation in web-based learning. Journal of Educational Technology & Society, 18(4), 142-156. https://www.jstor.org/stable/10.2307/jeductechsoci.18.4.142
Daniel, S.J. (2020). Education and the COVID-19 pandemic. Prospects, 49(1), 91-96..
Darabi, A.A., Sikorski, E.G., & Harvey, R.B. (2006). Validated competencies for distance teaching. Distance Education, 27(1), 105-122. https://doi.org/10.1080/01587910600605379
Goodyear, P., Salmon, G., Spector, J.M., Steeples, C., & Tickner, S. (2001). Competences for online teaching: A special report. Educational Technology Research and Development, 49(1), 65-72. https://doi.org/10.1007/BF02504928
Guasch, T., Alvarez, I., & Espasa, A. (2010). University teacher competencies in a virtual teaching/learning environment: Analysis of a teacher training experience. Teaching and Teacher Education, 26(2), 199-206. https://doi.org/10.1016/j.tate.2009.03.010
Gunzler, D., Chen, T., Wu, P., & Zhang, H. (2013). Introduction to mediation analysis with structural equation modeling. Shanghai Archives of Psychiatry, 25(6), 390-394. https://doi.org/10.3969/j.issn.1002-0829.2013.06.009
Hajji, M., Bouzaidi, R. D., Douzi, H., & Khouya, E.H. (2016). New blended learning strategy based on flipped-learning for vocational work-linked training. Journal of Education and Practice, 7(3). https://files.eric.ed.gov/fulltext/EJ1087321.pdf
Harasim, L. (2017). Learning theory and online technologies (2nd ed.). Routledge. https://doi.org/10.4324/9781315716831
IESALC. (2020). COVID-19 and higher education: Today and tomorrow. Impact analysis, policy responses and recommendations. UNESCO.
Kumar, A., & Singh, A. (2020). Online teaching during lockdown: An exploratory study of higher education teachers' preparedness, challenges, and strategies. Education and Information Technologies, 1-18. https://doi.org/10.1007/s10639-020-10368-7
Kumar, R., & Samanta, S. (2021). Preparedness of teacher educators for online teaching in India during COVID-19. Education and Information Technologies, 26(4), 4025-4044. https://doi.org/10.1007/s10639-020-10541-z
Lee, Y., & Choi, J. (2011). A review of online course dropout research: Implications for practice and future research. Educational Technology Research and Development, 59, 593-618. https://doi.org/10.1007/s11423-010-9177-y
Li, C., & Lalani, F. (2020, April). The COVID-19 pandemic has changed education forever. In World economic forum (Vol. 29).
Liaw, Shu-Sheng. (2008). Investigating students’ perceived satisfaction, behavioral intention, and effectiveness of e-learning: A case study of the Blackboard system. Computers & Education, 51. 864-873. https://doi.org/10.1016/j.compedu.2007.09.005.
Mahajan, R., Kumar, S., & Agrawal, M. (2023). Online teaching effectiveness: Lessons from Indian universities during the Covid-19 pandemic. Global Business and Organizational Excellence, 43(1), 135-151.https://doi.org/10.1002/joe.22207
Mahinay Jr, S.D., Domingo, J.R., Mahinay, H.M., & Labio, R.D. (2022). Readiness of teachers to online teaching: A precursor to adopting online education modality. European Journal of Open Education and E-learning Studies, 7(2).
Martin, F., Budhrani, K., & Wang, C. (2019). Examining faculty perception of their readiness to teach online. Online Learning, 23(3), 97-119. https://doi.org/10.24059/olj.v23i3.1497
Nandi, D., Hamilton, M., Harland, J., & Warburton, G. (2017). Designing for student/staff partnership in learning and teaching: The case of student elearning advisor projects at the University of Sydney Business School. In S. Brown & S. Keppell (Eds.), Student engagement and quality assurance in higher education: International collaborations for the enhancement of learning (pp. 129-146). Routledge.
Nachimuthu, K. (2020). Student teacher’s attitude towards online learning during Covid 19. International Journal of Advanced Science and Technology, 29(06), 8745-8749. http://sersc.org/journals/index.php/IJAST/article/view/26057
Paliwal, M., & Singh, A. (2021). Teacher readiness for online teaching-learning during COVID−19 outbreak: A study of Indian institutions of higher education. Interactive Technology and Smart Education, 18(3), 403-421. https://www.emerald.com/insight/content/doi/10.1108/ITSE-07-2020-0118/full/html
Ramadiani, Ramadiani & Azainil, Azainil & Haryaka, Usfandi & Agus, Fahrul & Kridalaksana, Awang. (2017). User satisfaction model for e-learning using smartphone. Procedia Computer Science, 116. 373-380. https://doi.org/10.1016/j.procs.2017.10.070.
Rana, N.P. (2012). Measuring attitude towards e-learning among engineering college teachers in India using technology acceptance model. International Journal of Engineering Research and Applications, 2(4), 1169-1173. https://doi.org/10.1115/1.4036900
Shankar, K., Phelan, D., , V.R., Watermeyer, R., Knight, C., & Crick, T. (2021). ‘The COVID-19 crisis is not the core problem’: Experiences, challenges, and concerns of Irish academia during the pandemic. Irish Educational Studies, 40(2), 169-175. https://doi.org/10.1080/03323315.2021.1901249
Singh, V., & Thurman, A. (2019). How many ways can we define online learning? A systematic literature review of definitions of online learning (1988-2018). American Journal of Distance Education, 33(4), 289-306.
Suri, G., & Sharma, S. (2017). Teachers' attitude towards computer and e-learning: An exploratory study of Panjab University, Chandigarh, India. Pacific Business Review International, 9(8), 68-73. http://www.pbr.co.in/2017/2017_month/Feb/07.pdf
Varvel, V.E. (2007). Master online teacher competencies. Online Journal of Distance Learning Administration, 10(1), 1-41. https://www.westga.edu/~distance/ojdla/spring101/varvel101.html
Visser, L. (2000). Faculty work in developing and teaching web-based distance courses: A case study of time and effort. American Journal of Distance Education, 14(3), 21-32. https://doi.org/10.1080/08923640009527091
Williams, P.E. (2003). Roles and competencies for distance education programs in higher education institutions. The American Journal of Distance Education, 17(1), 45-57. https://doi.org/10.1207/S15389286AJDE1701_5
Young, J.R. (1997). Rethinking the role of the professor in an age of high-tech tools. Chronicle of Higher Education, 44(6), 26-28. https://eric.ed.gov/?id=EJ552453
Author Notes
https://orcid.org/0000-0002-3755-7035
https://orcid.org/0000-0001-7499-4528
Dr Chayanika Senapati has been an Assistant Professor in Management in Krishna Kanta Handiqui State Open University since December, 2007. She has a PhD from Gauhati University, 2016. She also has an MBA with specialisation in Human Resource Management and Marketing Management from Gauhati University, 2007. While associated with Krishna Kanta Handiqui State Open University for the past 17 years, she has explored new areas in the field of Open and Distance Learning and Management Studies; adopting an interdisciplinary approach into all her research activities. Dr Senapati has presented more than 40 research papers in various national and international conferences. She has received full sponsorship from COL to attend and present a research paper entitled “Education Beyond Barrier: A Case Study on the Aged Learners of KKHSOU, Assam” 9th Pan-Commonwealth Forum on Open Learning, held in Edinburgh, 2019. Dr Senapati has been a guest faculty member at several nstitutions. In addition to these she has published a number of research articles in in various journals of high repute. Email: chayanikasenapati@kkhsou.in
Dr Dipankar Malakar works at Krishna Kanta Handiqui State Open University as Assistant Professor in the Maniram Dewan School of Management. He has more than 12 years of teaching and research experience. He received his PhD from Gauhati University in 2017. He is also a PhD supervisor at Krishna Kanta Handiqui State Open University. He has presented more than 35 research papers in national and international seminars and in addition has published more than eight research articles in reputed journals, edited volumes, etc. He is a life member of Indian Commerce Association, North East India Commerce and Management Association and Odisha Commerce Association. Dr Malakar is also associated with the Department of Commerce. Email: dpmalakar1984@gmail.com
Cite as: Senapati, C., & Malakar, D. (2024). Preparedness and competencies of higher education teachers to teach online: A study in North-East India. Journal of Learning for Development, 11(2), 270-288.